当前时间:20181119 | 星期一::
当前位置: 首页 - 资讯中心 - 通知公告
东湖高新区关于2022年度现代服务业政策奖励补贴结果公示的通知
发布时间:2023-10-10 22:10 字号:[ ]

各有关单位:

按照《关于组织申报东湖高新区2022年度现代服务业政策奖励的通知》要求以及管委会相关规定,经企业申报、第三方专家评议、实地考察、征求各部门意见等流程,现将补贴结果予以公示,公示期为2023年10月9日—10月13日。如有异议,请于10月13日下午17:00前将书面意见(盖企业公章)反馈至发改局,逾期不予受理。

特此通知。

联系方式:65563313  65563314

邮    箱:dhgxfwy@163.com

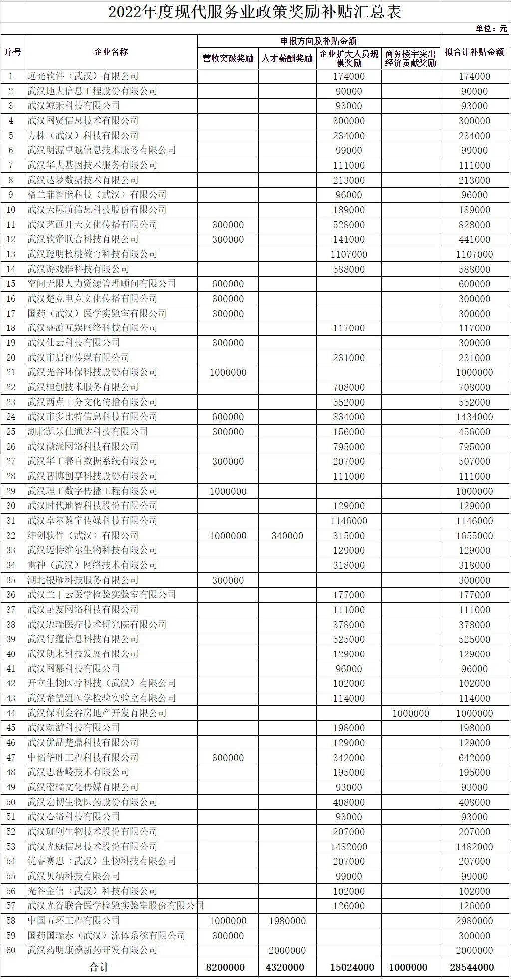
附件:2022年度现代服务业政策奖励补贴汇总表.xlsx


发展改革局

2023年10月9日

图片


相关新闻